What are Submaps? #
Submaps are a way to define multi-dimensional keybindings. This means that you can define keybindings that depend on a sequence of keys. This is useful if you want to have a lot of keybindings but don’t want to run out of keys. Furthermore, submaps can help you to structure your keybindings in a more logical way.
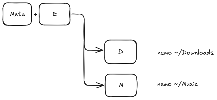
Example #

meta plus e followed by d is defined to open the file manager at the Downloads directory.
neovim #
Probably the most famous example of a submap is the neovim keybinding system. In neovim you can define keybindings depending on a sequence of keys. For example, you can define a keybinding for g followed by d followed by d to delete a line. This is called a submap in Hyprland.
How to define Submaps #
First of all, it is recommended to split the Hyprland configuration into multiple files. This makes it easier to manage the configuration and to keep it clean. This can be done by importing the files in the main configuration file (~/.config/hypr/hyprland.conf).
source = ~/.config/hypr/modules/keybindings.confAs you can see in my dotfiles I have a specific files where I define my applications as well. This is a goof idea if you switch the applications often, because you don’t have to edit multiple lines and files.
$fileManager = nemoAnd late it can be used with $fileManager in the keybindings-file and any other file.
So in the following example we will just edit the keybindings.conf file.
bind=$mainMod, E ,submap,files
submap=files
# shortcuts for impotant folders
bind = , D, exec, hyprctl dispatch submap reset; $fileManager ~/Downloads/
bind = , M, exec, hyprctl dispatch submap reset; $fileManager ~/Music/
bind = , V, exec, hyprctl dispatch submap reset; $fileManager ~/Videos/
bind = , P, exec, hyprctl dispatch submap reset; $fileManager ~/Pictures/
bind = , W, exec, hyprctl dispatch submap reset; $fileManager ~/Documents/
bind = , C, exec, hyprctl dispatch submap reset; $fileManager ~/code/
bind= , escape , submap, reset
submap=resetThe line bind=$mainMod, E ,submap,files defines the keybind to enter a submap. The submap is specified with a name, in this case files.
submap=files and submap=reset define the body of the submap. Everything inside this block is only defined when the submap is active.
The last command line bind= , escape , submap, reset is used to leave the submap.

Addition: Waybar Integration #

// Hyprland Submaps
"hyprland/submap": {
"format": "{}",
"max-length": 30,
"tooltip": false,
"on-click" : "hyprctl dispatch submap reset"
},Further it can reset (exiting) the submap with a click on the widget.
Use Cases #
As previously mentioned, submaps are a great way to structure your keybindings. You can define a submap for each application or for each category of keybindings. This makes it easier to find the keybindings you are looking for and to remember them.
For example I use them for my file manager, for my browser (different browsers, private window…) and for my code editor, if I use different ones for different projects.
The ideas and possibilities are endless as so often in the ricing world.